Jual Beli Tanah Online / Sejarah Jual-beli Lot Tanah Geran Kongsi atau Tanah Lot ...

Jual Beli Tanah Online / Sejarah Jual-beli Lot Tanah Geran Kongsi atau Tanah Lot .... Tersedianya beragam situs properti di internet pun membuka peluang terjualnya rumah dengan cepat dan mudah. Kamu bisa menemukan penjual tanah kavling dari seluruh indonesia yang terdekat dari lokasi & wilayah kamu sekarang. Kunjungi 99.co indonesia untuk info terbaru rumah dijual, sewa apartemen, kontrakan & ruko di berbagai lokasi & kelas harga. Sebagai warga negara yang baik, yuk, kita taat bayar pajak. Jawaban atas pertanyaan yang serupa dengan yang anda ajukan telah kami berikan pada tanggal 21 nopember 2001 dengan judul pemilikan properti.

Berikut adalah beberapa situs jual beli properti yang bisa. Aplikasi jual beli sewa rumah, tanah, apartemen, properti 2020. Setiap negara menerapkan peraturan yang berbeda terkait hukum jual beli tanah. Berikut ini bunyi pasal tersebut: Tanah sangat strategis dan siap bangun berlokasi di junrejo kota batu atau berdekatan dengan polres batu.

Hukum Jual Beli Online - Attaubah Institute
Hukum Jual Beli Online - Attaubah Institute from www.attaubah-institute.com
Sebagai salah satu toko online terbesar di tanah air, lazada menyediakan berbagai macam produk mulai dari fashion, gadget, elektronik, dan masih banyak lagi. Setelah mencantumkan identitas lengkap penjual (pihak pertama) dan pembeli (pihak kedua), alamat lengkap dan posisi lahan yang tepat juga perlu untuk dijabarkan. 24 tahun 1997 tentang pendaftaran tanah. Agar memudahkan anda, maka sekali lagi kami berikan beberapa peraturan yang dapat. Cukup dengan idr 399,000.00 nett, apartemen anda dapat dibantu ditayangkan di 15 online channels di seluruh indonesia tanpa biaya komisi agen seperti pada umumnya. Ada banyak tanah dan rumah yg akan dijual silahkan hubungi kami 081223532230 Berikut ini bunyi pasal tersebut: Tanah sangat strategis dan siap bangun berlokasi di junrejo kota batu atau berdekatan dengan polres batu.

Dasar hukum jual beli tanah.

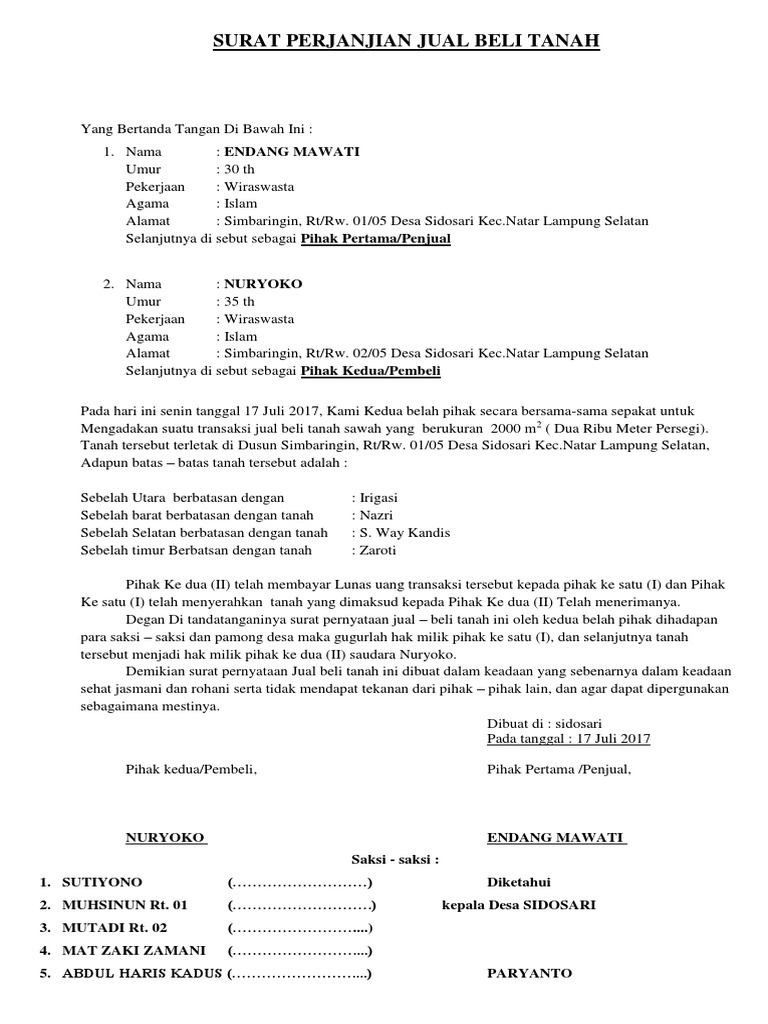
Juga berkaitan dengan peta, sebaran bidang tanah berdasarkan jenis haknya, informasi penyebaran titik transaksi jual beli tanah, dan informasi zona nilai tanah semuanya bisa dilihat oleh masyarakat secara online. Cukup dengan idr 399,000.00 nett, apartemen anda dapat dibantu ditayangkan di 15 online channels di seluruh indonesia tanpa biaya komisi agen seperti pada umumnya. Berikut adalah beberapa situs jual beli properti yang bisa. Dijual tanah kapling di pontianak jalan ampera, masuk gang luas tanah 18 x 22 (dpt 2 kavling). Tanah bagus jalan raya kadusirung 7 menit ke stasiun intermoda bsd, 10 menit ke perumahan bsd cisauk, tangerang. Sewa dan jual tanah murah di indonesia, temukan listing tanah terbaru hanya di olx jual beli tanah terlengkap di indonesia. Contoh surat jual beli tanah. Setelah mencantumkan identitas lengkap penjual (pihak pertama) dan pembeli (pihak kedua), alamat lengkap dan posisi lahan yang tepat juga perlu untuk dijabarkan. Berikut ini bunyi pasal tersebut: Sebagai warga negara yang baik, yuk, kita taat bayar pajak. Dmb1172 fashion atasan 1kg muat 7pcs lolipop sweater rajut knit loly premium sweater gradasi hits selebgram batch 1 baru 2021. Dasar hukum pajak yang dikenakan kepada penjual, yakni pph, adalah pasal 1 ayat 1 peraturan pemerintah nomor 48 tahun 1994 tentang pembayaran pajak penghasilan atas penghasilan dari pengalihan hak atas tanah dan/atau bangunan. Beli baju muslim, sweater keren serba 50rb.

Dasar hukum pajak yang dikenakan kepada penjual, yakni pph, adalah pasal 1 ayat 1 peraturan pemerintah nomor 48 tahun 1994 tentang pembayaran pajak penghasilan atas penghasilan dari pengalihan hak atas tanah dan/atau bangunan. Dasar hukum dan cara menghitungnya. Situs properti terbaik di indonesia untuk pasang iklan jual rumah, sewa rumah, jual apartemen, sewa apartemen, tanah dijual, ruko dijual/disewakan, kantor, tempat usaha, kios, gudang, dll. Sejak tahun 2007 hingga sekarang, situs ini banyak membantu para pengusaha properti dan pembeli memilih rumah impiannya. Dijual tanah kapling di pontianak jalan ampera, masuk gang luas tanah 18 x 22 (dpt 2 kavling).

Prosedur Dan Syarat Sah Jual Beli Tanah
Prosedur Dan Syarat Sah Jual Beli Tanah from imgv2-1-f.scribdassets.com
Situs ini sudah berdiri sejak tahun 2017 dan telah memasarkan berbagai jenis properti berupa tanah, ruko, gudang, villa, dsb. Dasar hukum jual beli tanah di indonesia. Sewa dan jual tanah murah di indonesia, temukan listing tanah terbaru hanya di olx jual beli tanah terlengkap di indonesia. Berikut ini bunyi pasal tersebut: Dijual tanah kapling di pontianak jalan ampera, masuk gang luas tanah 18 x 22 (dpt 2 kavling). Cukup dengan idr 399,000.00 nett, apartemen anda dapat dibantu ditayangkan di 15 online channels di seluruh indonesia tanpa biaya komisi agen seperti pada umumnya. Saat ini, wilayah cakupan realoka.com adalah jabodetabek, hingga bandung dan surabaya. Orang pribadi atau badan yang memperoleh penghasilan dari pengalihan hak atas tanah dan bangunan atau perubahan perjanjian pengikatan jual beli atas tanah dan bangunan wajib membayar pajak penghasilan (pph) final.

Itulah ulasan singkat mengenai tarif bpthb.

Dasar hukum dan cara menghitungnya. Tanah sangat strategis dan siap bangun berlokasi di junrejo kota batu atau berdekatan dengan polres batu. Selain indonesia, lazada juga menjadi salah satu aplikasi jual beli online terbesar di asia tenggara seperti malaysia, filipina, singapura, thailand, dan vietnam. Dijual tanah kapling di pontianak jalan ampera, masuk gang luas tanah 18 x 22 (dpt 2 kavling). Sewa dan jual tanah murah di indonesia, temukan listing tanah terbaru hanya di olx jual beli tanah terlengkap di indonesia. Rumah3 · march 1, 2021. Berikut ini bunyi pasal tersebut: Saat ini, wilayah cakupan realoka.com adalah jabodetabek, hingga bandung dan surabaya. Aplikasi jual beli sewa rumah, tanah, apartemen, properti 2020. Saat ini juga sudah tersedia layanan aplikasi berbasis web onlinepajak yang memudahkan anda membayar dan melaporkan pajak secara online. Jawaban atas pertanyaan yang serupa dengan yang anda ajukan telah kami berikan pada tanggal 21 nopember 2001 dengan judul pemilikan properti. Perbandingan harga jual tanah kapling. Kunjungi 99.co indonesia untuk info terbaru rumah dijual, sewa apartemen, kontrakan & ruko di berbagai lokasi & kelas harga.

Jual tanah kapling di ampera pontianak. Tanah sangat strategis dan siap bangun berlokasi di junrejo kota batu atau berdekatan dengan polres batu. Sewa dan jual tanah murah di indonesia, temukan listing tanah terbaru hanya di olx jual beli tanah terlengkap di indonesia. Dasar hukum jual beli tanah di indonesia. Situs ini sudah berdiri sejak tahun 2017 dan telah memasarkan berbagai jenis properti berupa tanah, ruko, gudang, villa, dsb.

Hukum Jual Beli Online - Attaubah Institute
Hukum Jual Beli Online - Attaubah Institute from www.attaubah-institute.com
Sewa dan jual tanah murah di indonesia, temukan listing tanah terbaru hanya di olx jual beli tanah terlengkap di indonesia. Setelah mencantumkan identitas lengkap penjual (pihak pertama) dan pembeli (pihak kedua), alamat lengkap dan posisi lahan yang tepat juga perlu untuk dijabarkan. Contoh surat jual beli tanah. Tanah sangat strategis dan siap bangun berlokasi di junrejo kota batu atau berdekatan dengan polres batu. Beli aneka produk tanah kavling online terlengkap dengan mudah, cepat & aman di tokopedia. Cukup dengan idr 399,000.00 nett, apartemen anda dapat dibantu ditayangkan di 15 online channels di seluruh indonesia tanpa biaya komisi agen seperti pada umumnya. Aplikasi jual beli sewa rumah, tanah, apartemen, properti 2020. Dasar hukum jual beli tanah.

Ya, menjual rumah secara online dewasa ini telah banyak dilakukan masyarakat.

Rumah123.com situs jual beli rumah online rumah123 (rumah123.com) rumah123.com merupakan salah satu situs jual beli properti terbaik di indonesia. Kunjungi 99.co indonesia untuk info terbaru rumah dijual, sewa apartemen, kontrakan & ruko di berbagai lokasi & kelas harga. Saat ini juga sudah tersedia layanan aplikasi berbasis web onlinepajak yang memudahkan anda membayar dan melaporkan pajak secara online. Perbandingan harga jual tanah kapling. Juga berkaitan dengan peta, sebaran bidang tanah berdasarkan jenis haknya, informasi penyebaran titik transaksi jual beli tanah, dan informasi zona nilai tanah semuanya bisa dilihat oleh masyarakat secara online. Tanah bagus jalan raya kadusirung 7 menit ke stasiun intermoda bsd, 10 menit ke perumahan bsd cisauk, tangerang. Jual beli tanah kavling online terlengkap, aman & nyaman di tokopedia. Setiap negara menerapkan peraturan yang berbeda terkait hukum jual beli tanah. Berikut adalah beberapa situs jual beli properti yang bisa. Setelah mencantumkan identitas lengkap penjual (pihak pertama) dan pembeli (pihak kedua), alamat lengkap dan posisi lahan yang tepat juga perlu untuk dijabarkan. Jawaban atas pertanyaan yang serupa dengan yang anda ajukan telah kami berikan pada tanggal 21 nopember 2001 dengan judul pemilikan properti. Tanah sangat strategis dan siap bangun berlokasi di junrejo kota batu atau berdekatan dengan polres batu. Aplikasi jual beli sewa rumah, tanah, apartemen, properti 2020.